2-amino-5-naphthol-7-sulfonic acid

structural formula
| business number | 01xg |
|---|---|
| molecular formula | c10h9no4s |
| molecular weight | 239.25 |
| label |
6-amino-1-naphthol-3-sulfonic acid, j acid, 2-amino-5-hydroxynaphthalene-7-sulfonic acid, 7-amino-4-hydroxynaphthalene-2-sulfonic acid, 6-amino-1-naphthol-3-sulfonic acid, j-acid, 7-amino-4-hydroxynaphthalene-2-sulfonic acid, aromatic sulfur compounds |
numbering system
cas number:87-02-5
mdl number:mfcd00003970
einecs number:201-718-9
rtecs number:qk1295500
brn number:2217192
pubchem number:24846222
physical property data
1. properties: white needle-like crystals.
2. density (g/ml, 25/4℃): undetermined
3. relative vapor density (g/ml, air=1): undetermined
4. melting point (ºc): not determined
5. boiling point (ºc, normal pressure): not determined
6. boiling point (ºc, 5.2kpa): not determined determined
7. refractive index: undetermined
8. flash point (ºc): undetermined
9. specific rotation (º): undetermined
10. autoignition point or ignition temperature (ºc): undetermined
11. vapor pressure (kpa, 25ºc): undetermined
12. saturation vapor pressure (kpa, 60ºc): undetermined
13. heat of combustion (kj/mol): undetermined
14. critical temperature (ºc): undetermined
15. critical pressure (kpa): undetermined
16. log value of oil-water (octanol/water) partition coefficient: undetermined
17. explosion upper limit (% ,v/v): undetermined
18. lower explosion limit (%,v/v): undetermined
19. solubility: hardly soluble in cold water, slightly soluble in heat water is almost insoluble in ethanol, but soluble in alkaline solutions such as soda ash and caustic soda.
toxicological data
1. acute toxicity
rat caliber ld50: 11500mg/kg;
2. neurotoxicity
rabbit eye test: 500 mg/24hreaction
ecological data
none yet
molecular structure data
1. molar refractive index: 59.80
2. molar volume (cm3/mol): 147.0
3. isotonic specific volume (90.2k ): 448.3
4. surface tension (dyne/cm): 86.4
5. polarizability (10-24cm3): 23.70
p>
compute chemical data
1. hydrophobic parameter calculation reference value (xlogp): -0.9
2. number of hydrogen bond donors: 3
3. number of hydrogen bond acceptors: 5
4. number of rotatable chemical bonds: 1
5. number of tautomers: 19
6. topological molecular polar surface area (tpsa): 101
7. number of heavy atoms: 16
8. surface charge: 0
9. complexity: 350
10. isotopic atoms quantity: 0
11. determine the number of atomic stereocenters: 0
12. uncertain number of atomic stereocenters: 0
13. determine the chemical bond structure number of stereocenters: 0
14. number of uncertain chemical bond stereocenters: 0
15. number of covalent bond units: 1
properties and stability
1.j acid is heated with ferric chloride solution to form a dark brown precipitate; it reacts with calcium chloride to form a yellow-brown precipitate; the base sodium salt dissolves in water fluorescent blue.
2. avoid inhaling the dust of this product and avoid contact with eyes and skin.
3. toxic. rat oral ld50: 11500mg/kg. toxic or highly corrosive raw materials such as 2-aminonaphthalene sulfonic acid, fuming concentrated sulfuric acid, and caustic soda are used in production.
storage method
1. this product should be sealed and stored away from light. store in a dry, clean house to prevent exposure to sunlight and rain. when placing the box (bucket), the mouth should be upward to prevent product leakage.
synthesis method
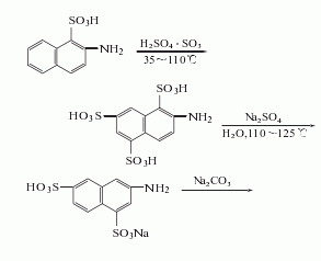
previously it was prepared from β-naphthylamine. since β-naphthylamine is highly carcinogenic, this production method has been eliminated. nowadays, 2-naphthylamine-1-sulfonic acid (tocolic acid) is used as raw material to produce j acid. after sulfonation and hydrolysis of tobaic acid, 2-naphthoic acid-5,7-disulfonomonosodium salt (amino j acid) is obtained, which is then obtained by neutralization, alkali fusion and acidification.


purpose
dye intermediates. mainly used to prepare direct green lotus r, direct light fast blue frl, direct light fast gray 2bl, direct copper salt blue 2r, direct acid fast violet, direct pink, direct copper dyeing navy blue, direct light fast blue b2r, direct date red gb, and active red, orange, bright orange x-gn, gray, grass green, red brown and other dyes. it is also used to prepare bis-j acid, scarlet acid, phenyl j acid, etc.
