4-amino-4′-nitrostilbene-2,2′-disulfonic acid

structural formula
| business number | 03b9 |
|---|---|
| molecular formula | c14h12n2o8s2 |
| molecular weight | 400.38 |
| label |
5-amino-2-[2-(4-nitro-2-sulfophenyl)ethenyl]-benzenesulfonic acid, heterocyclic compounds |
numbering system
cas number:119-72-2
mdl number:none
einecs number:none
rtecs number:none
brn number:none
pubchem id:none
physical property data
1. characteristics: brown powder
2. density (g/ml,20℃): undetermined
3. relative vapor density (g/ml,air=1): undetermined
4. melting point (ºc): >300
5. boiling point (ºc,normal pressure): undetermined
6. boiling point (ºc, kpa): undetermined
7. refractive index: undetermined
8. flashpoint (ºc): undetermined
9. specific optical rotation (º): undetermined
10. autoignition point or ignition temperature (ºc): undetermined
11. vapor pressure (mmhg,ºc): undetermined
12. saturated vapor pressure (kpa, ºc): undetermined
13. heat of combustion (kj/mol): undetermined
14. critical temperature (ºc): undetermined
15. critical pressure (kpa): undetermined
16. oil and water (octanol/log value of the partition coefficient for water: undetermined
17. explosion limit (%,v/v): undetermined
topological molecule polar surface area (tpsa):184
7. heavy atoms quantity: 26
8. surface charge :-2
9. complexity :721
10. number of isotope atoms:0
11. determine the number of atomic stereocenters:0
12. uncertain number of atomic stereocenters:0
13. determine the number of stereocenters of chemical bonds:1
14. uncertain number of chemical bond stereocenters:0
15. number of covalent bond units: 1
properties and stability
avoid contact with strong oxidants.
storage method
stored in a cool, ventilated warehouse. keep away from fire and water. should be kept away from oxidizer, do not store together. equipped with corresponding varieties and quantities of consumer goods
anti-protection equipment.
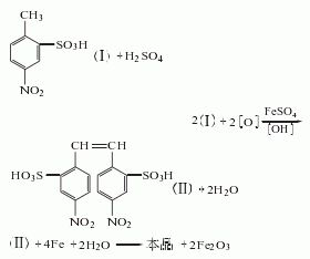
synthesis method
none
purpose
none
: -18pt; text-align: left; mso-list: l0 level1 lfo1; tab-stops: list 18.0pt; mso-margin-top-alt: auto; mso-margin-bottom-alt: auto” align=left> 13, determine the number of stereocenters of chemical bonds:1
14. uncertain number of chemical bond stereocenters:0
15. number of covalent bond units: 1
properties and stability
avoid contact with strong oxidants.
storage method
stored in a cool, ventilated warehouse. keep away from fire and water. should be kept away from oxidizer, do not store together. equipped with corresponding varieties and quantities of consumer goods
anti-protection equipment.
synthesis method
none
purpose
none

