1-naphthylamine-6-sulfonic acid

structural formula
| business number | 03bb |
|---|---|
| molecular formula | c10h9no3s |
| molecular weight | 223.25 |
| label |
aromatic sulfur compounds |
numbering system
cas number:119-79-9
mdl number:mfcd00004030
einecs number:204-351-2
rtecs number:qk1285000
brn number:none
pubchem number:24856865
physical property data
1. appearance: gray or purple powder
2. density (g/ml, 25℃): undetermined
3. relative vapor density (g/ml, air =1): undetermined
4. melting point (ºc): >330
5. boiling point (ºc, normal pressure): undetermined
6. boiling point (ºc, kpa): not determined
7. refractive index: not determined
8. flash point (ºc): not determined
9. ratio optical rotation (º): undetermined
10. autoignition point or ignition temperature (ºc): undetermined
11. vapor pressure (mmhg,ºc): undetermined
p>
12. saturated vapor pressure (kpa, ºc): undetermined
13. heat of combustion (kj/mol): undetermined
14. critical temperature (ºc ): undetermined
15. critical pressure (kpa): undetermined
16. log value of oil-water (octanol/water) partition coefficient: undetermined
17. explosion upper limit (%, v/v): undetermined
18. explosion lower limit (%, v/v): undetermined
19. solubility: almost insoluble in ethanol and ether.
toxicological data
1. acute toxicity: rat oral ld50: 14200mg/kg
ecological data
avoid contact with strong oxidizing agents.
molecular structure data
1. molar refractive index: 58.27
2. molar volume (cm3/mol): 148.6
3. isotonic specific volume (90.2k ): 433.1
4. surface tension (dyne/cm): 72.1
5. polarizability (10-24cm3): 23.10
compute chemical data
1. reference value for hydrophobic parameter calculation (xlogp): none
2. number of hydrogen bond donors: 2
3. number of hydrogen bond acceptors: 4
4. number of rotatable chemical bonds: 1
5. number of tautomers: none
6. topological molecule polar surface area 88.8
7. number of heavy atoms: 15
8. surface charge: 0
9. complexity: 322
10. number of isotope atoms: 0
11. determine the number of atomic stereocenters: 0
12. uncertain number of atomic stereocenters: 0
13. determine the number of chemical bond stereocenters: 0
14. number of uncertain chemical bond stereocenters: 0
15. number of covalent bond units: 1
properties and stability
avoid contact with strong oxidizing agentstouch.
toxic, oral ld50 in rats: 14mg/kg. production equipment should be sealed and operators should wear protective equipment.
storage method
stored in a cool, ventilated warehouse. keep away from fire and water. should be kept away from oxidizer, do not store together. equipped with the appropriate variety and quantity of fire equipment.
packaged in wooden or iron drums lined with plastic bags. 50kg per barrel. store in a cool, dry and ventilated place, avoid sunlight, moisture and heat. store and transport according to regulations on toxic substances.
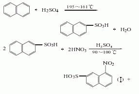
synthesis method
sulfonated naphthalene 2-naphthalenesulfonic acid is obtained, which is nitrated to 1-nitro-6(7)-naphthalenesulfonic acid, and then reduced to obtain the finished product. the difference in solubility of 1,6- and 1,7-aminonaphthalene sulfonate magnesium salts at a certain temperature can be used to separate them.

purpose
this product is mainly used to manufacture direct light fast blue b2r, rgl, bgl, direct light fast gray lbn, direct light fast brown rtl and direct black ff dyes. it is also used to make azo dye sulfide blue cv and processed into neutral dye intermediates.
