1,4-diaminoanthraquinone 1,4-diaminoanthraquinone

structural formula
| business number | 03lu |
|---|---|
| molecular formula | c14h10n2o2 |
| molecular weight | 238.25 |
| label |
1,4-diamino-9,10-anthracenedione, 1,4-diaminoanthraquinone (oxide form), dunant purple 2r, anthraquinone-1,4-diamine, sudan purple, 1,4-diamino-10-anthracenedione, 1,4-diamino-9,10-anthracenedione, 1,4-diamino-9,10-anthraquinone, aromatic nitrogen-containing compounds and their derivatives |
numbering system
cas number:128-95-0
mdl number:mfcd00001224
einecs number:204-922-6
rtecs number:cb6300000
brn number:2216556
pubchem number:24862847
physical property data
1. properties: dark purple crystal (in pyridine) or purple crystal.
2. melting point (℃): 268
3. solubility: soluble in benzene, pyridine, nitrobenzene, aniline, slightly soluble in hot acetic acid and ethanol. the solution in concentrated sulfuric acid is almost colorless, and becomes blue-red after adding boric acid.
toxicological data
1. skin/eye irritation: rabbit eye standard drez eye dye test: 500mg/24h has a slight irritating effect on the eyes.
2. acute toxicity: rat oral ld5o: 5790mg/kg
rat peritoneal ld5o: 250mg/kg
3. mutagenicity: salmonella gene mutation testing system: 100ug/plate
microbial gene mutation testing system: 12800ug/l
ecological data
none yet
molecular structure data
1. molar refractive index: 67.14
2. molar volume (cm3/mol): 163.6
3. isotonic specific volume (90.2k ): 490.7
4. surface tension (dyne/cm): 80.9
5. polarizability (10-24cm3): 26.61
compute chemical data
1. reference value for hydrophobic parameter calculation (xlogp): 2.6
2. number of hydrogen bond donors: 2
3. number of hydrogen bond acceptors: 4
4. number of rotatable chemical bonds: 0
5. number of tautomers: 8
6. topological molecule polar surface area 86.2
7. number of heavy atoms: 18
8. surface charge: 0
9. complexity: 346
10. number of isotope atoms: 0
11. determine the number of atomic stereocenters: 0
12. uncertain number of atomic stereocenters: 0
13. determine the number of chemical bond stereocenters: 0
14. number of uncertain chemical bond stereocenters: 0
15. number of covalent bond units: 1
properties and stability
1.basic properties
dark purple needle-like crystals. melting point 268℃. soluble in ethanol, benzene and nitrobenzene, slightly soluble in water and hot acetic acid.
2.�body ld1~2g/kg. rats were intraperitoneally injected with ld100500mg/kg. see 1,5-diaminanthraquinone.
storage method
packed in iron drums lined with plastic bags, net weight per drum is 50kg. store in a ventilated place, protected from sun and moisture.
synthesis method
brief description of the production method
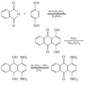
1,4-dihydroxyanthraquinone is obtained by condensation of hydroquinone and phthalic anhydride, and then ammoniated to obtain 1,4-diaminoanthraquinone leuco body, which is then oxidized with fuming sulfuric acid. raw material consumption quota: phthalic anhydride 2131kg/t, hydroquinone 887kg/t, ammonia (20%) 10788kg/t, oleum 3580kg/t.

purpose
mainly used to prepare anthraquinone series vat dyes, disperse dyes, acid dyes, etc., such as vat olive r, vat brown br, disperse violet h-frl, disperse emerald blue h-gl and other dyes. it can be used by itself as a disperse violet dye.
