2-methyl-4-nitroaniline 2-methyl-4-nitroaniline

structural formula
| business number | 02fw |
|---|---|
| molecular formula | c7h8n2o2 |
| molecular weight | 152.15 |
| label |
4-nitro-o-toluidine, 4-nitro-2-methylaniline, red base rl, fast red rl base, 2-amino-5-nitrotoluene, 4-nitro-o-toluidine, aromatic nitrogen-containing compounds and their derivatives |
numbering system
cas number:99-52-5
mdl number:mfcd00007734
einecs number:202-762-1
rtecs number:xu8210000
brn number:775772
pubchem number:24848779
physical property data
1. character: yellow crystal[1]
2. melting point (℃): 131~133[2]
3. octanol/water partition coefficient: 1.96~2.02[3]
4. solubility: slightly soluble in water, soluble in ethanol, ether, acetone, benzene, chloroform. [4]
toxicological data
1. mutagenicity:
mutation microorganism test: bacteria – salmonella typhimurium, 2500μg/plate;
mutation microorganism test: bacteria – salmonella typhimurium, 1mg/plate ;
ecological data
this substance is slightly hazardous to water.
molecular structure data
none yet
compute chemical data
1. reference value for hydrophobic parameter calculation (xlogp): none
2. number of hydrogen bond donors: 1
3. number of hydrogen bond acceptors: 3
4. number of rotatable chemical bonds: 0
5. number of tautomers: none
6. topological molecule polar surface area 71.8
7. number of heavy atoms: 11
8. surface charge: 0
9. complexity: 155
10. number of isotope atoms: 0
11. determine the number of atomic stereocenters: 0
12. uncertain number of atomic stereocenters: 0
13. determine the number of chemical bond stereocenters: 0
14. number of uncertain chemical bond stereocenters: 0
15. number of covalent bond units: 1
properties and stability
1. this product is toxic. easily absorbed through the skin but excreted in urine. see p-nitroaniline.
2. stability[5] stable
3. incompatible substances[6] acids, acid chlorides, acid anhydrides, chloroform
4. polymerization hazards[7] no polymerization
storage method
1. storage precautions [8] store in a cool, ventilated warehouse. keep away from fire and heat sources. the packaging is sealed. they should be stored separately from acids and food chemicals, and avoid mixed storage. equipped with the appropriate variety and quantity of fire equipment. suitable materials should be available in the storage area to contain spills.
2. packed in plywood barrels lined with plastic bags. 30kg per barrel. avoid heat and moisture during storage and transportation. press poison��dangerous goods require storage and transportation.
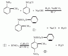
synthesis method
using o-toluidine and p-methanesulfonyl chloride as raw materials, it is obtained through condensation, nitration, hydrolysis, neutralization and filtration and drying. raw material consumption quota: o-toluidine (industrial product) 945kg/t, caustic soda (100%) 1350kg/t, benzenesulfonyl chloride (industrial product) 1650kg/t, baking soda (industrial product) 40kg/t, chlorobenzene (industrial product) ) 460kg/t, sulfuric acid (100%) 3100kg/t, nitric acid (98%) 680kg/t, ammonia (20%) 6230kg/t, sodium nitrite 10kg/t, sodium sulfite (industrial product) 26kg/t.


purpose
1. dye intermediates. it is used as the color base for ice dyeing dyes, namely red base rl. it is also used for dyeing and printing color development of cotton, viscose, nylon fabrics and linen fiber fabrics. it can also be used in the production of coatings.
2. used for dyeing and printing of cotton and linen fiber fabrics, and can also be used for the production of coatings. [9]
