3-methylsalicylic acid 3-methylsalicylic acid

structural formula
| business number | 01tt |
|---|---|
| molecular formula | c8h8o3 |
| molecular weight | 152.15 |
| label |
m-methyl salicylic acid, 2-hydroxym-toluic acid, 2-hydroxy-3-methylbenzoic acid, p-methyl salicylic acid, 2-hydroxy-3-methyl-benzoic acid, o-cresotic acid, 2-hydroxy-m-toluic acid, aliphatic carboxylic acids and their derivatives |
numbering system
cas number:83-40-9
mdl number:mfcd00002448
einecs number:201-473-8
rtecs number:gp3920000
brn number:2086811
pubchem number:24850191
physical property data
1. properties: white or reddish crystalline powder.
2. density (g/ml, 25/4℃): uncertain
3. relative vapor density (g/ml, air=1): uncertain
4. melting point (ºc): 165℃
5. boiling point (ºc, normal pressure): uncertain
6. boiling point (ºc, 5.2kpa): uncertain confirm
7. refractive index: uncertain
8. flash point (ºc): uncertain
9. specific rotation (º): uncertain
10. autoignition point or ignition temperature (ºc): uncertain
11. vapor pressure (kpa, 25ºc): uncertain
12. saturation vapor pressure (kpa, 60ºc): uncertain
13. heat of combustion (kj/mol): uncertain
14. critical temperature (ºc): uncertain
15. critical pressure (kpa): uncertain
16. log value of oil-water (octanol/water) partition coefficient: uncertain
17. explosion upper limit (% ,v/v): uncertain
18. lower explosion limit (%,v/v): uncertain
19. solubility: easily soluble in hot water, soluble in alcohol, ether, chloroform and sodium hydroxide solution, slightly soluble in cold water
toxicological data
1. acute toxicity:
rat caliber ld50: 445mg/k
mouse caliber ld50: 1mg/kg
mouse abdominal cavity ld50: 345 mg/kg;
2. teratogenicity
lymphocytes: 1mmol/l
ecological data
none
molecular structure data
1. molar refractive index: 39.88
2. molar volume (cm3/mol): 116.6
3. isotonic specific volume (90.2k ): 322.0
4. surface tension (dyne/cm���: 58.0
5. polarizability (10-24cm3): 15.81
compute chemical data
1. hydrophobic parameter calculation reference value (xlogp): 2.9
2. number of hydrogen bond donors: 2
3. number of hydrogen bond acceptors: 3
4. number of rotatable chemical bonds: 1
5. number of tautomers: 4
6. topological molecular polar surface area (tpsa): 57.5
7. number of heavy atoms: 11
8. surface charge: 0
9. complexity: 155
10. number of isotope atoms : 0
11. determine the number of atomic stereocenters: 0
12. uncertain number of atomic stereocenters: 0
13. determine the chemical bond configuration. number of centers: 0
14, number of uncertain chemical bond stereocenters: 0
15, number of covalent bond units: 1
properties and stability
none
storage method
this product should be sealed and stored in a cool, dark place.
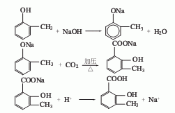
synthesis method
its production includes solid phase method and solvent method. compared with the two, the latter does not require the processing of highly hygroscopic o-cresol sodium salt dry powder. the reaction material is a liquid-phase carbon carboxylation reaction that is completed once by passing co2. there is no need to steam the phenol in the middle, and it can be produced in ordinary pressure equipment, which reduces the use of dehydration and carbon carboxylation equipment. the production principles of both methods are the same.
purpose
this product can be used to make azo dyes, especially acidic mordant blue b dyes. it can also be used as raw material to prepare more than 20 kinds of triphenylmethane mordant dyes such as blue, purple, brown and green.
