4,4′-dinitrodiphenyl ether 4,4′-dinitrodiphenyl ether

structural formula
| business number | 02kv |
|---|---|
| molecular formula | c12h8n2o5 |
| molecular weight | 260.20 |
| label |
4,4-dinitrodiphenyl ether, 4,4′-dinitrophenyl ether, 4,4′-dinitrodiphenyl ether, 4,4′-dinitrodiphenyl oxide, aromatic nitrogen-containing compounds and their derivatives |
numbering system
cas number:101-63-3
mdl number:mfcd00059182
einecs number:202-961-3
rtecs number:kn3450000
brn number:none
pubchem number:24878159
physical property data
1. properties: yellow needle-like crystals.
2. density (g/ml, 20℃): undetermined
3. relative vapor density (g/ml, air=1): undetermined
4. melting point (ºc): 140-145
5. boiling point (ºc, normal pressure): undetermined
6. boiling point (ºc, kpa): undetermined
7. refractive index: undetermined
8. flash point (ºc): undetermined
9. specific rotation (º): undetermined
p>
10. autoignition point or ignition temperature (ºc): not determined
11. vapor pressure (mmhg, 20.2ºc): not determined
12. saturated vapor pressure (kpa, ºc): undetermined
13. heat of combustion (kj/mol): undetermined
14. critical temperature (ºc): undetermined
15. critical pressure (kpa): undetermined
16. log value of oil-water (octanol/water) distribution coefficient: undetermined
17. explosion upper limit (%, v/v): undetermined
18. lower explosion limit (%, v/v): undetermined
19. solubility: easily soluble in hot ethanol, soluble in benzene and acetic acid, slightly soluble in ether.
toxicological data
mutagenicity: mutant microorganism test: bacteria-salmonella typhimurium, 50μg/plate;
ecological data
none yet
molecular structure data
1. molar refractive index: 65.78
2. molar volume (cm3/mol): 183.7
3. isotonic specific volume (90.2k ): 509.3
4. surface tension (dyne/cm): 59.1
5. dielectric constant:
6. dipole moment (10-24cm3):
7. polarizability: 26.08
compute chemical data
1. reference value for hydrophobic parameter calculation (xlogp): none
2. number of hydrogen bond donors: 0
3. number of hydrogen bond acceptors: 5
4. number of rotatable chemical bonds: 2
5. number of tautomers: none
6. topological molecular polar surface.��101
7. number of heavy atoms: 19
8. surface charge: 0
9. complexity: 290
10. number of isotope atoms: 0
11. number of determined atomic stereocenters: 0
12. number of uncertain atomic stereocenters: 0
13 .determined number of stereocenters of chemical bonds: 0
14. uncertain number of stereocenters of chemical bonds: 0
15. number of covalent bond units: 1
properties and stability
this product is toxic. irritating. bitter taste. can be absorbed through the respiratory tract or skin, causing poisoning. it can cause saliva and nasal mucosa to turn yellow, skin and hair to turn brown, and cannot be washed off. picric acidosis may cause headache, nausea, neuritis, and amenorrhea in women. the maximum allowable concentration in the air in the workplace is 0.1×10-6. oral administration of ld50 to rats: 120mg/kg. production equipment must be sealed. keep the room moist and well ventilated. operators must wear protective equipment.
storage method
packed in wooden barrels lined with plastic bags, 25kg per barrel. store in a cool, ventilated warehouse. keep 10% moisture content during storage. store and transport according to regulations for flammable and explosive materials.
synthesis method
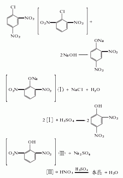
2,6-oil (2,4- and 2,6-dinitrochlorobenzene) is hydrolyzed with sodium hydroxide to obtain 2,4- and 2 , 6-sodium dinitrophenolate, acidified, nitrated with mixed acid, and washed with suction filtration water to obtain the finished product.

purpose
used in organic synthesis, dye intermediates.
