quinoline

structural formula
| business number | 023c |
|---|---|
| molecular formula | c9h7n |
| molecular weight | 129.16 |
| label |
benzopyridine, azanaphthalene, 1-benzazine, 2,3-benzopyridine, leucoline, catalyst for acylation reaction and olefin polymerization reaction, curing agent for soluble phenolic resin, metal preservatives |
numbering system
cas number:91-22-5
mdl number:mfcd00006736
einecs number:202-051-6
rtecs number:va9275000
brn number:107477
pubchem number:24901720
physical property data
1. properties: colorless liquid, turning yellow over time and having a special smell. [1]
2. melting point (℃): -14.5[2]
3. boiling point (℃): 237.7[3]
4. relative density (water = 1): 1.09[4]
5. relative vapor density (air=1): 4.45[5]
6. saturated vapor pressure (kpa): 0.13 (59.7℃)[6]
7. heat of combustion (kj/mol): -4696.2[7]
8. critical pressure (mpa): 4.66[8]
9. octanol/water partition coefficient: 2.03~2.06[9]
10. flash point (℃): 99 ( cc)[10]
11. ignition temperature (℃): 480[11]
12. explosion limit (%): 7[12]
13. lower explosion limit (%): 1.2[13]
14. solubility: soluble in water, soluble in most organic solvents such as ethanol, ether, carbon disulfide, etc. [14]
15. viscosity (mpa·s, 15ºc): 4.354
16. viscosity (mpa·s, 30ºc): 2.997
17. heat of evaporation (kj/mol, b.p.): 47.45
18. heat of fusion (kj/kg): 83.64
19. heat of generation (kj/ mol, liquid): 149.23
20. heat of combustion (kj/mol, constant volume): 4697.9
21. specific heat capacity (kj/(kg·k), 26.84ºc, constant volume) pressure): 1.55
22. boiling point rising constant: 5.72
23. conductivity (s/m, 25ºc): 2.2×10-8
24. thermal conductivity (w/(m·k), 20ºc): 0.149
toxicological data
1. acute toxicity[15] ld50: 460mg/kg (rat oral); 540mg/kg (rabbit dermal )
2. irritation[16] rabbit transdermal: 100mg (24h), moderate irritation.
3. subacute and chronic toxicity[17] rats consume 0.05%~0.25% of this product after feeding for 16 to 40 weeks, body weight growth slows n and mortality increases.
ecological data
1. ecotoxicity[18]
ec50: 52mg/l (48h) (daphnia)
ic50: 140mg/l (72h) (algae)
2. biodegradability[19]
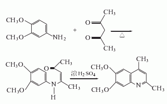
�hydrochloride, after filtration at 20°c, the filtrate is fractionated to obtain quinoline with a purity of 99%. in addition, the low solubility of the salt formed by quinoline and dichromic acid (2c9h7n-h2cr2o7) can also be used for purification. other refining methods include: cooling the redistilled quinoline with ice and adding excess hydrochloric acid to form a hydrochloride. diazotization is performed to remove aniline and the solution is heated to 60°c to destroy the diazo compound. non-alkaline impurities are removed by extraction with diethyl ether. add alkali to free quinoline, dry the solid potassium hydroxide and fractionate under reduced pressure.

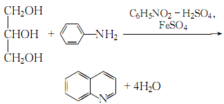
2.in the presence of nitrobenzene, ferrous sulfate and concentrated sulfuric acid, aniline reacts with glycerol to produce quinoline:

the fine products can be distilled with water vapor, and then used the sodium hydroxide is dehydrated and then distilled under reduced pressure.
mix 9.4mol glycerol, 2.3mol aniline, 1.4mol nitrobenzene, 80g ferrous sulfate powder and 400ml concentrated sulfuric acid evenly , slowly heat until boiling begins and then stop heating to allow the reaction:

after the reaction slows n, heat and boil for 5 hours. after that, cool, add a small amount of water for steam distillation to evaporate nitrobenzene, carefully adjust the solution to alkaline with 40% sodium hydroxide solution, neutralize and release the heat energy of the solution will make the solution boil. after it relaxes slightly, add steam to evaporate all the quinoline. after cooling, separate the quinoline layer, add 150ml of concentrated sulfuric acid, cool to 0~5°c, and add sodium nitrite while stirring until the solution is boiled. the starch potassium iodide test paper turns blue. then, heat it until a large number of bubbles are no longer produced. use steam distillation to drive out all volatiles. then use 40% sodium hydroxide solution to adjust the solution to be alkaline. repeat the above method to evaporate all the quinoline. the quinoline thus obtained is dried with granular sodium hydroxide, distilled under reduced pressure, and the 110-114°c fraction is collected at 1862 pa to obtain the finished product quinoline.
purpose
1. this product is an organic synthesis raw material and solvent. in the pharmaceutical industry, it is used to make two major types of drugs: nicotinic acid, 8-hydroxyquinoline and quinine; it can also be used to make nicotinic acid, anthelmintics, pyelonephritis drugs and non-addictive analgesics.
2. used as a solvent for synthetic resins and raw materials for medicines, dyes, nicotinic acid, etc. it can also be used as raw material for anion exchange resin.
3. quinoline can be used as a catalyst for acylation reaction and olefin polymerization reaction, a curing agent for soluble phenolic resin, and a metal preservative. insoluble salts formed with metal ions can be used for quantitative analysis.
4. used as analytical reagents, such as precipitants and solvents.
5. used in the synthesis of drugs and dyes. [27]
