trichloroisocyanuric acid

structural formula
| business number | 01ys |
|---|---|
| molecular formula | c3cl3n3o3 |
| molecular weight | 232.41 |
| label |
strong chlorine, trichloroethyl cyanuric acid, 1,3,5-trichloro-2,4,6-triazinetrione, symclosene, tcica, trichlorocyanuric acid, bactericidal algaecide |
numbering system
cas number:87-90-1
mdl number:mfcd00006553
einecs number:201-782-8
rtecs number:xz1925000
brn number:202022
pubchem number:24850553
physical property data
1. properties: white crystalline powder. sensitive to light.
2. density (g/ml, 25/4℃): 0.55~0.70
3. relative vapor density (g/ml, air=1): 0.92~0.98
4. melting point (ºc): 246~247℃ (decomposition)
5. boiling point (ºc, normal pressure): undetermined
6. boiling point ( ºc, 5.2kpa): not determined
7. refractive index: not determined
8. flash point (ºc): not determined
9. specific rotation degree (º): undetermined
10. autoignition point or ignition temperature (ºc): undetermined
11. vapor pressure (kpa, 25ºc): undetermined
12. saturated vapor pressure (kpa, 60ºc): undetermined
13. heat of combustion (kj/mol): undetermined
14. critical temperature (ºc) : undetermined
15. critical pressure (kpa): undetermined
16. log value of oil-water (octanol/water) partition coefficient: undetermined
17. explosion upper limit (%, v/v): undetermined
18. explosion lower limit (%, v/v): undetermined
19. solubility: dissolved in dilute alkali, ammonia and pyridine are slightly soluble in water and their aqueous solutions are unstable.
toxicological data
ld/lc50 amount related to classification:
cavity ld50 750mg/kg(mam)
406mg/kg (rat)
ldlo 3570 mg/kg (hmn)
1900 mg/kg (rbt)
skin ldlo 5010 mg/kg (rbt)
inhalation lc >2000mg/m3/1h(rat)
skin irritation moderate 500mg/24h(rbt)
eye irritation severe 500mg(rbt)
main irritation effects:
on skin: irritating to skin and mucous membranes.
on eyes: strong corrosive effect.
sensitization: no known sensitizing effects.
ecological data
general notes
ecotoxicity effects
note: highly toxic to fish
water hazard class 3 (german regulation) (self-assessment via list) this substance is hazardous to water and its hazards.
do not allow this product to come into contact with groundwater, waterways, or sewage systems, even in small amounts.
even extremely small amounts of product seeping into the ground can pose a hazard to drinking water.
it is also poisonous to fish and plankton in water bodies.
do not discharge materials into the surrounding environment without government permission.
highly toxic to organic matter in water.
molecular structure data
1. molar refractive index: 40.38
2. molar volume (cm3/mol): 106.0
3. isotonic specific volume (90.2k ): 331.7
4. surface tension (dyne/cm): 95.6
5. polarizability (10-24cm3): 16.00
compute chemical data
1. reference value for hydrophobic parameter calculation (xlogp): 1.2
2. number of hydrogen bond donors: 0
3. number of hydrogen bond acceptors: 3
4. number of rotatable chemical bonds: 0
5. number of tautomers: none
6. topological molecule polar surface area 60.9
7. number of heavy atoms: 12
8. surface charge: 0
9. complexity: 202
10. number of isotope atoms: 0
11. determine the number of atomic stereocenters: 0
12. uncertain number of atomic stereocenters: 0
13. determine the number of chemical bond stereocenters: 0
14. number of uncertain chemical bond stereocenters: 0
15. number of covalent bond units: 1
properties and stability
it is stable under normal temperature and pressure.
storage method
1. this product should be sealed with argon gas and stored in a dry place below 0℃ and protected from light.
2.during storage and transportation, prevent moisture, sunlight, and contact with acids, alkalis, and easily oxidized organic matter to avoid decomposition, failure, and explosion.
synthesis method
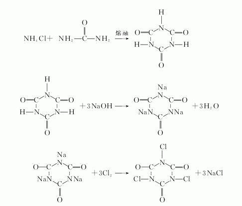
1. using urea and ammonium chloride as the main raw materials, cyanuric acid is produced through thermal cracking , and then prepared by chlorination. the production process of trichloroisocyanuric acid includes solid phase method and liquid phase method. the solid-phase method has backward technology, high cost, harsh environmental conditions, difficult by-products to handle, and small production scale. the liquid phase production process is to react in high-boiling solvents such as sulfolane and dimethylformamide. the product gradually precipitates as the reaction proceeds. the product is cooled and separated, and the solvent is regenerated and recycled. this method can produce continuously, has high yield and no waste water discharge. however, this method has complex process and high investment. there are two main chlorination methods: one is the alkaline earth metal method, ca(oh)2 aqueous solution and cyanuric acid aqueous solution are mixed, chlorine reacts, and the reactants are cooled, filtered, washed, and dried to obtain the product; the other is hypochlorous acid method, hypochlorous acid aqueous solution and cyanuric acid slurry react at low temperature, precipitate, filter, wash and dry to obtain the product.
isocyanuric acid is dissolved in sodium hydroxide solution, and then chlorine gas is slowly introduced at low temperature to perform a chlorination reaction, and trichloroisocyanuric acid is precipitated. after filtration, washing and drying, the product is obtained. the reaction formula is as follows:

purpose
1. biochemical research. substrate for measuring porphobilinogen dehydrogenase activity. 2.this product has extremely strong sterilizing and bleaching effects. it is widely used in civil sanitation, animal husbandry and plant protection as an efficient sterilizing and disinfecting agent for cotton and linen chemical fiber fabrics. washing bleach, wool anti-shrinkage agent, can also be used in rubber chlorination, battery materials, organic synthesis industry and dry bleaching of clothing. the bactericidal effect of trichloroisocyanuric acid is similar to that of hypocyanurate and chlorine, and it is an oxidizing bactericide. it can replace liquid chlorine hypochlorite in circulating cooling water systems. mainly used for disinfection and sterilization of drinking water, industrial circulating water, swimming pools, restaurants, hotels, public places, homes, hospitals, poultry eggs and the prevention and treatment of fish lesions. it has a killing effect on almost all fungi, bacteria, and virus spores, and is safe and convenient to use. this product can also be widely used in food, dairy products, rice seed treatment, fruit preservation, fiber bleaching, wool shrinkage prevention, daily chemical decolorization, wood mildew prevention and papermaking, rubber oxidation and battery materials. tcca has excellent bactericidal performance and is a new generation of broad-spectrum, efficient, low-toxic bactericide, bleach and anti-shrink agent.
